Odwzorowanie wykresów
Odwzorowanie wykresów. Dokument: zawierający zestaw odwzorowanych wykresów. Program: Microsoft Word Dokumenty: Dokument źródłowy: Powered…
Odwzorowanie wykresów 2
Odwzorowanie wykresów 2. Dokument: zawierający zestaw odwzorowanych wykresów. Program: Microsoft Word Dokumenty: Dokument źródłowy:…
Hiperłącza
Hiperłącza. Dokument: obrazujący działanie hiperłączy. Zawiera odesłanie do: pliku, strony internetowej, maila. Program: Microsoft…
Formularz – Dane osobowe
Formularz – Dane osobowe. Dokument: tworzący formularz, który można wykorzystać w korespondencji seryjnej. Program:…
Formatowanie tekstu 2
Formatowanie tekstu 2. Dokument: zawierający zestaw ćwiczeń: Formatowanie: Popraw w pracy błędy pisowni.Wpisz Autora…
Formatowanie tekstu
Formatowanie tekstu. Dokument: dotyczący formatowania tekstu na różny sposób. Program: Microsoft Word Dokument:
Formatowanie pracy
Formatowanie pracy. Dokument: zawierający zestaw ćwiczeń: Formatowanie: Marginesy: lewy: 3,5 cm, prawy 2,5 cm,…
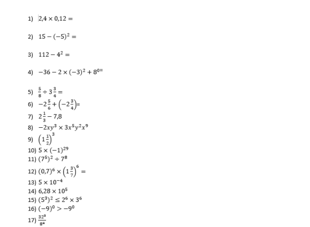
Edytor równań
Edytor równań. Dokument: zawierający zestaw odwzorowanych równań. Program: Microsoft Word Dokumenty: Dokument źródłowy: Powered…
Zawiadomienie pracowników
Zawiadomienie pracowników. Dokument: zawierający zawiadomienia przygotowane dla wszystkich pracowników. Plik bazy danych wymagany do…
Szablon – Ocena osoby ubiegającej się o pracę
Szablon – Ocena osoby ubiegającej się o pracę. Dokument: zawierający szablon gotowy do wypełnienia…









